Skip to contents

Filter reads

Usage

filterReads(
  se,
  assayName = "mod_prob",
  readInfoCol = "readInfo",
  qcCol = "QC",
  minQscore = 0,
  maxEntropy = Inf,
  minSNR = -Inf,
  maxFracLowConf = 1,
  minReadLength = 0,
  minAlignedLength = 0,
  minAlignedFraction = 0,
  minCoveredFraction = 0,
  region = NULL,
  prune = TRUE,
  onlyStats = FALSE,
  removeAllNApos = TRUE
)

Arguments

se

A SummarizedExperiment object.

assayName

A character scalar providing the name of a read-level assay in se. This assay will be used to extract read names, as well as to filter out any read that is not overlapping any of the positions in the object.

readInfoCol

A character scalar providing the name of the column in colData that contains read info. Can be NULL if no such column exists.

qcCol

A character scalar providing the name of the column in colData that contains quality metrics (calculated by calcReadStats). Can be NULL if no such column exists.

minQscore

A numeric scalar representing the smallest acceptable read-level Qscore. Reads with Qscore below this value will be filtered out.

maxEntropy

A numeric scalar representing the largest acceptable read-level entropy. Reads without modified-base calls or with entropy above this value will be filtered out.

minSNR

A numeric scalar representing the smallest acceptable read Signal to Noise ratio (SNR). Reads with SNR below this value will be filtered out.

maxFracLowConf

A numeric scalar representing the maximally acceptable fraction of low-confidence modified base calls in a read. Reads without modified-base calls or with a fraction of low confidence calls greater than this value will be filtered out.

minReadLength

A numeric scalar representing the smallest acceptable read length. Reads that are shorter than this value will be filtered out.

minAlignedLength

A numeric scalar representing the smallest acceptable aligned length. Reads with aligned length shorter than this value will be filtered out.

minAlignedFraction

A numeric scalar representing the smallest acceptable aligned fraction of a read. Reads where the aligned fraction is smaller than this value will be filtered out.

minCoveredFraction

A numeric scalar giving the minimal fraction of region that a read alignment needs to cover to be retained.

region

A GRanges object with a single region to be used for the minCoveredFraction filter. Alternatively, the region can be specified as a character scalar (e.g. "chr1:1200-1300") that can be coerced into a GRanges object. If NULL (the default), all reads are retained.

prune

A logical scalar. If TRUE (the default), samples for which the filtering retains none of the reads will be completely removed from the returned SummarizedExperiment (also from colData and from assays that do not store read-level data). If FALSE, such samples are retained (in the assays with read-level data as a zero-column SparseMatrix).

onlyStats

A logical scalar. If FALSE (the default), the SummarizedExperiment object will be filtered according to the provided thresholds. If TRUE, the filter statistics are calculated and returned, but the object is not subset.

removeAllNApos

A logical scalar. If TRUE, remove all positions for which all values in assayName are NA after the read filtering.

Value

If onlyStats is FALSE, a filtered SummarizedExperiment object. The metadata of this object contains a slot named filteredOutReads, which tabulate all reads that are filtered out, together with the reason(s) for exclusion. If onlyStats is TRUE, only this table is returned.

Author

Charlotte Soneson, Michael Stadler

Examples

library(SummarizedExperiment)
modbamfile <- system.file("extdata", "6mA_1_10reads.bam",
                          package = "SingleMoleculeGenomicsIO")
se <- readModBam(bamfile = modbamfile, regions = "chr1:6920000-6995000",
                 modbase = "a", verbose = TRUE,
                 BPPARAM = BiocParallel::SerialParam())
#>  extracting base modifications from modBAM files
#> ⠙ 0.000 Mio. genomic positions processed (0.001 Mio./s) [2ms]
#>  finding unique genomic positions...
#>  finding unique genomic positions... [28ms]
#> 
#> ⠙ 0.000 Mio. genomic positions processed (0.001 Mio./s) [2ms]

#>  collapsed 29545 positions to 8439 unique ones
#>  collapsed 29545 positions to 8439 unique ones [143ms]
#> 
#> ⠙ 0.000 Mio. genomic positions processed (0.001 Mio./s) [2ms]

se <- addReadStats(se, name = "QC",
                   BPPARAM = BiocParallel::SerialParam())
#> Warning: Too few points to estimate noise floor (8); raw noise variances are used.

## Filter se
## ... by quality score and aligned length
sefilt <- filterReads(se, minQscore = 14, minAlignedLength = 10000)
## ... by covered fraction of the specified region
sefilt <- filterReads(se, minCoveredFraction = 1, region = "chr1:6930000-6935000")

## Only calculate filter stats
filtstats <- filterReads(se, minQscore = 14, minAlignedLength = 10000,
                         onlyStats = TRUE)
filtstats
#> $s1
#> <7 x 9 SparseMatrix> of type "logical" [nzcount=11 (17%)]:
#>                                          Qscore Entropy ...   AllNA
#> s1-fc4646ce-66f9-401f-b968-e9b0cda14d61   FALSE   FALSE   .   FALSE
#> s1-6cf74134-e550-4c02-bd2b-91385422ee25   FALSE   FALSE   .   FALSE
#> s1-5d45d8d2-d5f5-47ff-a9fa-f3fd6b7bd3c7    TRUE   FALSE   .   FALSE
#> s1-b6fea9db-c92d-4152-9d29-4d021bbc45e8    TRUE   FALSE   .   FALSE
#> s1-49c1e21e-8cb0-415a-aba9-92912219c4bb    TRUE   FALSE   .   FALSE
#> s1-b0b20f04-931f-4f60-b3e4-0ee1f5666a61   FALSE   FALSE   .   FALSE
#> s1-41ca0e97-11b3-454b-9741-bc373e29ef37    TRUE   FALSE   .   FALSE
#> 

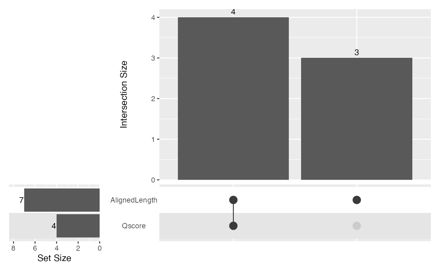
## Visualize filter stats in UpSet plot, e.g. with ComplexUpset
if (require(SimpleUpset)) {
    SimpleUpset::simpleUpSet(as.data.frame(filtstats$s1))
}
#> Loading required package: SimpleUpset
#> Loading required package: ggplot2
#> Loading required package: patchwork